Backbone fragment library
Assume that when it is a stereo-isomer, the fragment will have the final number 1 for the (S) configuration and 2 for the (R) configuration.
| FRAGMENT ID | 2D Structure | Name | Notes | 3D mol* |
| 5PO | ![]() | 5PO | 5′-terminal cap | |
| DPO | DPO | Standard dimethyl phosphate (regular backbone) Charge -1 Atom types from OL15/21 | ||
| RPO | RPO | Standard dimethyl phosphate (regular backbone) Charge -1 Atom types from OL3 | ||
| BPO | ![]() | BPO | ||
| PSS | PSS | Phosphorodithioate Charge -1 | ||
| PS1 | PS1 (S) | Thiophosphate (S) Charge -1 Other names: phosphorothioate | ||
| PS2 | PS2 (R) | Thiophosphate (R) Charge -1 Other names: phosphorothioate | ||
| MP1 | MP1 (S) | Methylphosphate (S) | ||
| MP2 | MP2 (R) | Methylphosphate (R) | ||
| NS1 | NS1 (S) | Thio phosphoramidate (S) Charge -1 | ||
| NS2 | NS2 (R) | Thio phosphoramidate (R) Charge -1 | ||
| PR1 | PR1 | Propyl backbone (S) | ||
| PR2 | PR2 | Propyl backbone (R) | ||
| IB1 | IB1 (S) | Isobutyl backbone (S) | ||
| IB2 | IB2 (R) | Isobutyl backbone (R) | ||
| MO1 | MO1 (S) | MOP backbone (S) | ||
| MO2 | MO2 (R) | MOP backbone (R) | ||
| PC1 | PC1 (S) | Phosphonoacetate (S) Charge -1 | ||
| PC2 | PC2(R) | Phosphonoacetate (R) Charge -1 | ||
| MES | ![]() | MES | Charge -1 | |
| MXG | MXG | Methylene phosphonate Charge -1 | ||
| PN1 | PN1 (S) | Phosphoryl guanidine (S) | ||
| PN2 | PN2 (R) | Phosphoryl guanidine (R) | ||
| WX1 | MX1 (S) | Mesyl -N-phosphonate (S) Charge -1 | ||
| WX2 | MX2 (R) | Mesyl -N-phosphonate (R) Charge -1 | ||
| VX1 | VX1 (S) | Ethyl-mesyl phosphonate (S) | ||
| VX2 | VX2 (R) | Ethyl-mesyl phosphonate (R) | ||
| XV1 | XV1 (S) | Isopropyl mesyl phosphonate (S) | ||
| XV2 | XV2 (R) | Isopropyl mesyl phosphonate (R) | ||
| ZV1 | ZV1 (S) | Amine-mesyl phosphonate (S) | ||
| ZV2 | ZV2 (R) | Amine-mesyl phosphonate (R) |
Base fragment library
| FRAGMENT ID | New 2D | Name | Notes |
| Canonical Nucleobases | |||
| DAA/RAA | Adenine | Ideal module Name HARDCODED Charges from OL3/OL15 | |
| DCC/RCC | Cytidine | Ideal module Name HARDCODED Charges from OL3/OL15 | |
| DGG/RGG | Guanine | Ideal module Name HARDCODED Charges from OL3/OL15 | |
| DTT | Thymine | Ideal module Name HARDCODED Charges from OL3/OL15 | |
| RUU | Uracil | Ideal module Name HARDCODED Charges from OL3/OL15 | |
| Modified Adenine | |||
| 1DP | N1-deaza-adenosine-5′-monophosphate | ||
| A6A | N6-acetyladenosine | ||
| BII | Inosine | ||
| C6A | N6-carbamoylmethyladenine | ||
| CTA | cyclic N6-threonylcarbamoyladenosine | ||
| DMA | 2,8-dimethyladenosine | ||
| G6A | N6-glycinylcarbamoyladenosine | ||
| E6A | N-ethylpiperidine-6’triazole modified adenine | +1 charge | |
| E7A | N-ethylpiperidine-7’-EAA triazole modified adenine | +1 charge | |
| F6A | N6-formyladenosine | ||
| H6A | N6-hydroxynorvalylcarbamoyladenosine | ||
| HNA | 6-hydroxyaminopurine | ||
| HMA | N6-hydroxymethyladenosine | ||
| HTA | Hydroxy-N6-threonylcarbamoyladenosine | ||
| I6A | N6-isopentenyladenosine | ||
| IGA | Isoguanosine | ||
| IOA | N6-(cis-hydroxyisopentenyl)adenosine | ||
| M1A | 1-methyladenosine | ||
| M2A | 2-methyladenosine | ||
| M3A | 3-methyladenosine | ||
| M4A | 4-methyladenosine | ||
| M6A | N6,N6-dimethyladenosine | ||
| M7A | 7-methyladenosine | ||
| M8A | 8-methyladenosine | ||
| MIA | 2-methylthio-N6-isopentenyl-adenosine-5′-monophosphate | ||
| MSA | 2-methylthio-N6-methyladenosine | ||
| MTA | 2-methylthio cyclic N6-threonylcarbamoyladenosine | ||
| M1I | 1-methylinosine | ||
| M3I | 3-methylhypoxyanthine | ||
| M7I | 7-methylhypoxanthine | ||
| N1A | N1-protonated adenosine | +1 charge | |
| N2A | 2-aminoadenine | ||
| N6A | N6-methyladenosine | ||
| NHA | 2-amino-6-hydroxyaminopurine | ||
| S6A | 2-methylthio-N6-(cis-hydroxyisopentenyl) adenosine | ||
| SIA | 2-methylthio-N6-isopentenyladenosine | ||
| SHA | 2-methylthio-N6-hydroxynorvalylcarbamoyladenosine | ||
| STA | 2-methylthio-N6-threonylcarbamoyladenosine | ||
| T6A | N6-methyl-N6-threonylcarbamoyladenosine | ||
| TCA | N6-threonylcarbamoyladenosine-5′-monophosphate | ||
| TMA | 2- methylthiomethylenethio-N6-isopentenyl-adenosine | ||
| TMB | |||
| TMC | |||
| TIA | N2-trans-isosafrole-dA-adduct | ||
| Modified Cytidine | |||
| 5FC | 5-fluorocytidine 5′-(dihydrogen phosphate) | ||
| A4C | N4-acetylcytidine | ||
| B5C | 5-bromocytidine 5′-(dihydrogen phosphate) | ||
| BIC | isocytidine-5′-monophosphate | ||
| BPC | agmatidine | ||
| C5C | 5-carboxylcytosine | ||
| E3C | 3-ethylcytosine | ||
| F5C | 5-formylcytosine | ||
| G5C | 5-glucosylmethylcytosine | ||
| H5C | 5-hydroxymethylcytosine | ||
| K2C | 2-lysidine | ||
| M2C | 2-O-methylcytosine | ||
| M3C | 3-methylcytosine | ||
| M4C | N4,N4-dimethylcytidine | ||
| M5C | 5’-methylcytidine | ||
| N3C | N3-protonated cytidine | Charge +1 | |
| N4C | N4-methylcytosine | ||
| N5C | 5-nitrocytidine 5′-(dihydrogen phosphate) | Charge +1 | |
| NEC | 3,N4-ethenocytosine | ||
| O5C | 5-hydroxycytidine | ||
| PPC | 6’-phenylpyrrolo-cytosine | ||
| RYC | 5′-3,6-dihydrocytidylic acid | ||
| S2C | 2-thiocytidine | ||
| FMC | ![]() | ||
| FRC | 5-Formyl dC III CE | ||
| FQC | Ac-5-Me-dC-CE | ||
| FSC | 5-Formyl-dC-CE | ||
| FUC | 5-Hydroxymethyl-dC II-CE | ||
| FVC | 5-I-dC-CE | 5′-Dimethoxytrityl-N-benzoyl-5-iodo-2′-deoxyCytidine,3′-[(2-cyanoethyl)-(N,N-diisopropyl)]-phosphoramidite | |
| FWC | 5-Br-dC-CE | 5′-Dimethoxytrityl-N-benzoyl-5-bromo-2′-deoxyCytidine,3′-[(2-cyanoethyl)-(N,N-diisopropyl)]-phosphoramidite | |
| FYC | 5-Carboxy-dC-CE | 5′-Dimethoxytrityl-N-benzoyl-5-ethylcarboxy-2′-deoxyCytidine,3′-[(2-cyanoethyl)-(N,N-diisopropyl)]-phosphoramidite | |
| FZC | 5-Hydroxymethyl-dC-CE | 5′-Dimethoxytrityl-N-benzoyl-5-cyanoethoxy-methyl-2′-deoxyCytidine,3′-[(2-cyanoethyl)-(N,N-diisopropyl)]-phosphoramidite | |
| FTC | 5-Me-dC-CE | 5′-Dimethoxytrityl-N-benzoyl-5-methyl-2′-deoxyCytidine,3′-[(2-cyanoethyl)-(N,N-diisopropyl)]-phosphoramidite | |
| Modified Guanine | |||
| TIG | N2-trans-isosafrole-dG-adduct | ||
| 1NE | 1,N2-ethenoguanine | ||
| 2NE | N2,3-ethenoguanine | ||
| 2MG | N2,N2-dimethylguanosine | ||
| 7MG | N2,7-dimethylguanosine | +1 charge | |
| 8OG | 8-oxoguanine | ||
| ADG | 7-amido-7-deazaguanosine | ||
| BGM | 8-bromo-2′-deoxyguanosine-5′-monophosphate | ||
| BQG | ![]() | ||
| C7G | 7-cyano-7-carbaguanine | ||
| CEG | N2-carboxyethylguanine | ||
| ISG | ![]() | Iso-guanine | |
| M1G | 1-methylguanine | ||
| M2G | 2-methylguanine | ||
| M3G | 3-methylguanine | ||
| M6G | 6-O-methylguanine | ||
| M7G | 7-methylguanine | +1 charge | |
| NMG | ![]() | ||
| PQG | 7-aminomethyl-7-carbaguanine | ||
| TMG | N2,N2,7-trimethylguanosine | +1 charge | |
| ACG | archaeosine | ||
| WYB | wybutosine | ||
| HWB | hydroxywybutosine | ||
| IPG | peroxywybutosine | ||
| OHW | undermodified hydroxywybutosine | ||
| OMW | methylated undermodified hydroxywybutosine | ||
| PYW | wybutosine[C15(S)]-5′-monophosphate | ||
| IMG | wyosine | ||
| IG2 | isowyosine | ||
| I4G | 4-demethylwyosine | ||
| MWG | methylwyosine | ||
| YW5 | 7-aminocarboxypropylwyosine methyl ester | ||
| YW7 | 7-aminocarboxypropylwyosine | ||
| YW8 | 7-aminocarboxypropyl-demethylwyosine | ||
| QUE | queuosine | ||
| EOQ | epoxyqueuosine | ||
| GAQ | galactosyl-queuosine | ||
| GLQ | glutamyl-queuosine | ||
| MQG | mannosyl-queuosine | ||
| XAN | Xantine | ||
| BRG | 8-Br-dG-CE Phosphoramidite | ||
| BSG | 8-Amino-dA-CE Phosphoramidite | ||
| BTH | 7-Deaza-8-aza-dG-CE Phosphoramidite | ||
| BTG | 7-deaza-dG-CE | ||
| BUG | 8-Amino-dG-CE | 5′-Dimethoxytrityl-N2,N8-bis(dimethylaminomethylidine)-8-amino-2′-deoxyGuanosine,3′-[(2-cyanoethyl)-(N,N-diisopropyl)]-phosphoramidite | |
| Modified Thymine | |||
| APT | alpha-putrescinylthymine | ||
| DHT | 5,6-dihydrothymine | ||
| M3T | 3-methylthymine | ||
| O4T | O(4)-methylthymine | ||
| Modified Uracil | |||
| 5BU | 5-bromo-uridine | ||
| 6BU | 6-bromo-uridine | ||
| I6U | 6-iodouridine | ||
| I5U | 5-iodouridine | ||
| 5CU | 5-cyanomethyluridine | ||
| SSU | 2-thiouridine | ||
| 5SU | 5-methyl-2-thiouridine | ||
| CGU | 5-carboxymethylaminomethyl-2-geranylthiouridine | ||
| C5U | 5-carboxymethyluridine | ||
| CHU | 5-carboxyhydroxymethyluridine | ||
| CMU | 5-carbamoylmethyluridine | ||
| CNU | 5-carboxymethylaminomethyl-2-thiouridine | ||
| COU | 5-carboxymethylaminomethyluridine | ||
| CSU | 5-carboxymethyl-2-thiouridine | ||
| FDU | 5’-fluoro-uridine | ||
| FHU | (5S,6R)-5-fluoro-6-hydroxy-pseudouridine-5′-monophosphate | ||
| GSU | 2-geranylthiouridine | ||
| H5U | 5-hydroxyuridine | ||
| HMU | 5-(carboxyhydroxymethyl)uridine methyl ester | ||
| HOU | 5-carbamoylhydroxymethyluridine | ||
| BNC | |||
| BOC | |||
| INU | 5-(isopentenylaminomethyl)uridine | ||
| ISU | 5-(isopentenylaminomethyl)-2-thiouridine | ||
| M3U | 3-methyluridine | ||
| M5U | 5-methyluridine | ||
| M6U | uracil-6-ylacetic acid: DNAmod | ||
| MCU | 5-methoxycarbonylmethyluridine | ||
| MGU | 5-methylaminomethyl-2-geranylthiouridine | ||
| MMU | 5-methoxycarbonylmethyl-2-thiouridine | ||
| MNU | 5-methylaminomethyluridine | ||
| MOU | 5-methoxyuridine | ||
| MSU | 5-methylaminomethyl-2-thiouridine | ||
| N3U | 3-(3-amino-3-carboxypropyl)uridine | ||
| N5U | 5-aminomethyluridine | ||
| NCD | 3-(3-amino-3-carboxypropyl)-5,6-dihydrouridine | ||
| NGU | 5-aminomethyl-2-geranylthiouridine | ||
| NMU | 5-carbamoylmethyl-2-thiouridine | ||
| NSU | 5-aminomethyl-2-thiouridine | ||
| O5U | uridine 5-oxyacetic acid | ||
| OMU | uridine 5-oxyacetic acid methyl ester | ||
| S2U | 2’-thiouridine | ||
| S4U | 4-thiouridine | ||
| T5U | 5-taurinomethyluridine | ||
| TSU | 5-taurinomethyl-2-thiouridine | ||
| B8N | (2~{R})-2-azanyl-4-[5-[(2~{S},3~{R},4~{S},5~{R})-3,4-bis(oxidanyl)-5-(phosphonooxymethyl)oxolan-2-yl]-3-methyl-2,6-bis(oxidanylidene)pyrimidin-1-yl]butanoic acid | ||
| BDD | Dihydrouridine | ||
| M5D | 5-methyldihydrouridine | ||
| PUU | Pseudouridine | ||
| C3Y | 3-(3-amino-3-carboxypropyl)pseudouridine | ||
| MCY | 1-methyl-3-(3-amino-3-carboxypropyl)pseudouridine | ||
| M1Y | 1-methylpseudouridine | ||
| M3Y | 3-methylpseudouridine | ||
| GXT | |||
| GYT | |||
| TIP | Tipiracil | ||
| SFF | Saflufenacil | ||
| OAU | Orotic acid | ||
| OBU | Orotate | ||
| EMU | Emivirine | ||
| PVU | 6-methyl-2-thiouracil | ||
| PSU | 6-ethyl-2-thiouracil | ||
| PTU | 6-propyl-2-thiouracil | ||
| PWU | 6-butyl-2-thiouracil | ||
| 5NU | 5-nitrouracil | ||
| RAU | 5-cyclohexane-uracil | ||
| RBU | 5-phenyl-uracil | ||
| RCU | p-methylphenyl-5-uracil | ||
| RDU | p-ethylphenyl-5-uracil | ||
| REU | p-propyl phenyl-5 uracil | ||
| RFU | C=4 | ||
| RGU | C=5 | ||
| Unclassified Modifications | |||
| 1RN | (E)-N-{[4-oxo-1-(5-O-phosphono-beta-D-arabinofuranosyl)-2-thioxo-1,2,3,4-tetrahydropyrimidin-5-yl]methylidene}glycin | ||
| 3TD | (1S)-1,4-anhydro-1-(3-methyl-2,4-dioxo-1,2,3,4-tetrahydropyrimidin-5-yl)-5-O-phosphono-D-ribitol | ||
| 2PR | 2-amino-9-[2-deoxyribofuranosyl]-9H-purine-5′-monophosphate | ||
| 5NI | 5’-nitroindole | ||
| 7AT | 1-(5-O-phosphono-beta-D-ribofuranosyl)-3-(1H-1,2,3-triazol-5-yl)-1H-pyrazolo[3,4-d]pyrimidin-4-amine | ||
| 8AZ | 8-aza-nebularine-5′-monophosphate | ||
| A7C | 3-[1-(4-bromophenyl)-1H-1,2,3-triazol-4-yl]-1-[5-O-(trihydroxy-lambda~5~-phosphanyl)-beta-D-ribofuranosyl]-1H-pyrazolo[3,4-d]pyrimidin-4-amine | ||
| A7E | 3-ethynyl-1-(5-O-phosphono-beta-D-ribofuranosyl)-1H-pyrazolo[3,4-d]pyrimidin-4-amine | ||
| B8H | [(2~{R},3~{S},4~{R},5~{S})-5-[1-methyl-2,4-bis(oxidanylidene)pyrimidin-5-yl]-3,4-bis(oxidanyl)oxolan-2-yl]methyl dihydrogen phosphate | ||
| BRF | 2’,4’-difluorotoluyl ribonucleoside | ||
| F4F | |||
| C4J | (5S)-5-{3-[(3S)-3-amino-3-carboxypropyl]-1-methyl-2,4-dioxo-1,2,3,4-tetrahydropyrimidin-5-yl}-2,5-anhydro-1-O-phosphono-L-arabinitol | ||
| MTU | 9-beta-D-ribofuranosyl-9H-purin-2-amine | ||
| N6G | ((2R,3S,4R,5S)-5-(2,6-diamino-9H-purin-9-YL)-3,4-dihydroxy-tetrahydrofuran-2-YL)methyl dihydrogen phosphate | ||
| NF2 | (1S)-1,4-anhydro-1-(2,4-difluoro-5-methylphenyl)-5-O-phosphono-D-ribitol | ||
| O2Z | [(2~{R},3~{S},4~{R},5~{R})-5-(2-azanyl-6-diazanyl-purin-9-yl)-3,4-bis(oxidanyl)oxolan-2-yl]methoxyphosphinic acid | ||
| ONE | 1-(beta-D-ribofuranosyl)-pyridin-4-one-5′-phosphate | ||
| P5P | purine riboside-5′-monophosphate | ||
| PYO | 1-(beta-D-ribofuranosyl)-pyrimidin-2-one-5′-phosphate | ||
| PYY | D-ribofuranosyl-benzene-5′-monophosphate | ||
| GCL | |||
| GC2 | |||
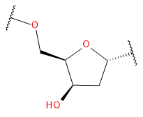
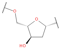
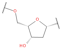
Sugar/linkers
| FRAGMENT ID | Structure | Name | Notes |
| DC2 | Standard deoxyribose | Atom types from OL15 | |
| 2AD | 2’amino-2’deoxy | ||
| A5L | (2-deoxy-2-fluoro-5-O-phosphono-beta-D-arabinofuranosyl) | 2’FANA, built C2’endo | |
| A5O | arabinose | *note the 2’OH group points “up” instead of “down” | |
| A9Z | 2′-(4-ethyl-1H-1,2,3-triazol-1-yl) | ||
| AF2 | 2′-deoxy-2′-fluoro | Built C3’endo | |
| aDX | ![]() | ||
| aXX | ![]() | ||
| bLD | ![]() | ||
| bYX | ![]() | ||
| CET | “gapmer” | https://pubs.acs.org/doi/abs/10.1021/jo502320y | |
| DBO | 2′-O-benzyl | built-c2’endo | |
| DDD | ![]() | ||
| DMP | 2′-O-methyl-4-pyridine | built-c2’endo | |
| DMX | built-c2’endo | ||
| DS4 | 4′-thio-4′-deoxy-cytosine-5′-monophosphate,S4C | ||
| DUD | Unlocked nucleic acid | Built C2’endo without OH | |
| GDS | ![]() | ||
| GMS | ![]() | ||
| GRS | ![]() | ||
| LNA | Locked nucleic acid | Built C2’endo (but C3’endo also optimizes to C2’endo) | |
| M5M | 2′-(N-acetamide)-cytidine-5′-monophosphate | ||
| MOE | 2′-O-methoxyethyl | built-C3’endo only | |
| NAI | ![]() | Built C2’endo | |
| OME | 2’-O-methyl | ||
| P3S | ![]() | Sulfonyl ester on O2′, Built C2’endo | |
| RBO | 2′-O-benzyl | Built C3’endo | |
| RC3 | Standard ribose sugar | C3’endo, atom types from OL3 | |
| RMP | 2′-O-methyl-4-pyridine | Built C3’endo | |
| RMX | 2-amino-9-(6-deoxy-5-O-phosphono-beta-D-allofuranosyl)-3,9-dihydro-6H-purin-6-one | Built C3’endo | |
| RS4 | S4C, 4′-thio-4′-deoxy-cytosine-5′-monophosphate | ||
| RUR | Unlocked nucleic acid | Built c3’endo with 2’OH | |
| TAE | ![]() | Triazole aryl ether on O2′, Built with C2’endo | |
| U4M | 1-{2,5-dideoxy-2-fluoro-4-[(phosphonooxy)methyl]-alpha-L-lyxofuranosyl}pyrimidine-2,4(1H,3H)-dione | Methyl group on C4’, fluorine on C2’ | |
| U5M | 1-(2,6-dideoxy-2-fluoro-5-O-phosphono-alpha-L-talofuranosyl)pyrimidine-2,4(1H,3H)-dione | Methyl group on C5’, fluorine on C2’ | |
| U5R | 1-(2,6-dideoxy-2-fluoro-5-O-phosphono-beta-D-allofuranosyl)pyrimidine-2,4(1H,3H)-dione | D-enantiomer version of U5M | |
| UFB | ![]() | ||
| UMO | 2′-F-4′-OMe uridine 5′-monophosphate | ||
| YLX | ![]() |



















